题目内容
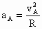
如图所示,压路机大轮的半径R是小轮半径r的2倍,压路机匀速开行时,大轮边缘上A点的向心加速度是
,那么小轮边缘上的B点向心加速度是__________
,大轮上距轴心的距离为?的C点的向心加速度是__________
.
![]()
答案:0.24,0.04
解析:
解析:
|
对 A点而言; |
练习册系列答案
相关题目
题目内容
如图所示,压路机大轮的半径R是小轮半径r的2倍,压路机匀速开行时,大轮边缘上A点的向心加速度是
,那么小轮边缘上的B点向心加速度是__________
,大轮上距轴心的距离为?的C点的向心加速度是__________
.
![]()
|
对 A点而言; |