题目内容
用双缝干涉测光的波长.实验装置如图甲所示,已知单缝与双缝间的距离为L1,双缝与屏的距离为L2,双缝间距为d.用测量头来测量亮纹中心的距离,测量头由分划板、目镜、手轮等构成,转动手轮,使分划板左右移动,让分划板的中心刻线对准亮纹的中心(如图乙所示),记下此时手轮上的读数,转动测量头,使分划板中心刻线对准另一条亮纹的中心,记下此时手轮上的读数.(a)分划板的中心刻线分别对准第1条和第4条亮纹的中心时,手轮上的读数如图丙所示,则对准第1条时的读数x1=______mm,对准第4条时的读数x2=______mm;
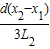
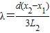
(b)计算波长λ的表达式为λ=______(用符号表示).
【答案】分析:(a)螺旋测微器的读数等于固定刻度读数加上可动刻度读数,在读可动刻度读数时需估读.
(b)根据双缝干涉条纹的间距公式
求出波长.
解答:解:(a)第一个读数为:2mm+0.01×19.0mm=2.190mm.第二个读数为:7.5mm+0.01×36.8mm=7.868mm.
(b)相邻条纹的间距d=
,根据双缝干涉条纹的间距公式
得,
.
故答案为:(a) 2.190;7.868 (b)
点评:解决本题的关键掌握螺旋测微器的读数方法,以及掌握双缝干涉条纹的间距公式
.
(b)根据双缝干涉条纹的间距公式
解答:解:(a)第一个读数为:2mm+0.01×19.0mm=2.190mm.第二个读数为:7.5mm+0.01×36.8mm=7.868mm.
(b)相邻条纹的间距d=
故答案为:(a) 2.190;7.868 (b)
点评:解决本题的关键掌握螺旋测微器的读数方法,以及掌握双缝干涉条纹的间距公式
练习册系列答案
相关题目