题目内容

如图所示,一个质量为m的圆环套在一根固定的水平直杆上,环与杆的动摩擦因数为μ,现给环一个向右的速度v0,如果环在运动过程中还受到一个方向始终竖直向上的力F的作用,已知Fkv(k为常数,v为速度),试讨论在环运动过程中克服摩擦力所做的功(假设杆足够长)

答案:
解析:

  当mgkv0时,即v0时,环在运动过程中,v减少,F减少,f减少

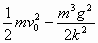
  到mgkv时,环作匀速运动,Wf

  环克服摩擦力所做的功为

  当mgkv0时,即v0时,环作匀速运动,Wf0,环克服摩擦力所做的功为零;

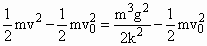
  当mgkv0时,即v0时,环在运动过程中,v减少,F减少,f增大,最终环静止Wf,环克服摩擦力所做的功为


练习册系列答案
相关题目

违法和不良信息举报电话:027-86699610 举报邮箱:58377363@163.com

精英家教网