题目内容
(适合于二期课改教材的考生)某小型实验水电站输出功率是20kW,输电线路总电阻是6Ω.(1)若采用380V输电,求输电线路损耗的功率.
(2)若改用5000高压输电,用户端利用n1:n2=22:1的变压器降压,求用户得到的电压.
【答案】分析:根据功率的计算公式
可得输电线上损失的功率;根据
即可求得用户得到的电压.
解答:解:(1)输电线路损耗的功率为

(2)改用高压输电后,输电线上的电流强度变为I′=
A=4A
用户端在变压器降压前获得的电压U1=U-I′R=(5000-4×6)V=4976V
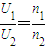
根据
用户得到的电压为U2=
=
×4976V=226.18V
答:输电线上损失的功率为16.62KW;改用高压输电后,用户得到的电压是226.18V.
点评:考查学生运用电功率公式及变压器线圈匝数与电压的关系解决实际问题的能力.
解答:解:(1)输电线路损耗的功率为
(2)改用高压输电后,输电线上的电流强度变为I′=
用户端在变压器降压前获得的电压U1=U-I′R=(5000-4×6)V=4976V
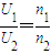
根据
用户得到的电压为U2=
答:输电线上损失的功率为16.62KW;改用高压输电后,用户得到的电压是226.18V.
点评:考查学生运用电功率公式及变压器线圈匝数与电压的关系解决实际问题的能力.
练习册系列答案
相关题目