题目内容
在“探究小车速度随时间变化的规律”的实验中,如图所示,是一条记录小车运动情况的纸带,图中A、B、C、D、E为相邻的计数点,每相邻的两个计数点之间还有四个点没有画出,交流电的频率为50Hz,则小车运动的加速度为 m/s2,打C点时小车的速度大小为 m/s,打E点时小车的运动速度为 m/s.
【答案】分析:利用逐差法△x=aT2可以求出加速度的大小,根据匀变速直线运动中,时间中点的瞬时速度等于该过程中的平均速度大小.
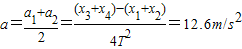
解答:解:相邻计数点之间的时间间隔为:T=0.1s,由逐差法△x=aT2得:



根据匀变速直线运动中,时间中点的瞬时速度等于该过程中的平均速度大小,有:

vE=vC+a×2T=5.16m/s
故答案为:12.6,2.64,5.16.
点评:求速度、加速度是纸带问题中常遇到的问题,注意熟练应用运动学公式和推论进行求解.
解答:解:相邻计数点之间的时间间隔为:T=0.1s,由逐差法△x=aT2得:
根据匀变速直线运动中,时间中点的瞬时速度等于该过程中的平均速度大小,有:
vE=vC+a×2T=5.16m/s
故答案为:12.6,2.64,5.16.
点评:求速度、加速度是纸带问题中常遇到的问题,注意熟练应用运动学公式和推论进行求解.
练习册系列答案
相关题目
| A、打点计时器不一定要使用交流电 | B、在释放小车前,小车应紧挨在打点计时器旁 | C、应先接通电源,待打点计时器开始打点后再释放小车 | D、要在小车到达定滑轮前使小车停止运动 |