题目内容
在用接在50Hz交流电源上的打点计时器测定小车做匀加速直线运动的加速度的实验中,得到如图所示的一条纸带,从比较清晰的点开始起,每5个打印点取一个计数点,分别标上0、1、2、3、4…量得0与1两点间的距离s1=30mm,3与4两点间的距离s4=48mm,则小车在0与1两点间平均速度为______,小车的加速度为______.
【答案】分析:纸带法实验中,若纸带匀变速直线运动,测得纸带上的点间距,利用平均速度的定义可以求出两点之间的平均速度,利用匀变速直线运动的推论,可计算出纸带运动的加速度.
解答:解:根据平均速度的定义可知小车在0与1两点间平均速度为:
;
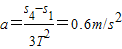
根据匀变速直线运动的推论有:
所以:
.
故答案为:0.3m/s,0.6m/s2.
点评:题借助实验考查了匀变速直线的规律以及推论的应用,在平时练习中要加强基础知识的理解与应用,提高解决问题能力.
解答:解:根据平均速度的定义可知小车在0与1两点间平均速度为:
根据匀变速直线运动的推论有:
所以:
故答案为:0.3m/s,0.6m/s2.
点评:题借助实验考查了匀变速直线的规律以及推论的应用,在平时练习中要加强基础知识的理解与应用,提高解决问题能力.
练习册系列答案
相关题目