题目内容
如图为某工厂生产流水线上水平传输装置的俯视图,它由传送带和转盘组成.物品从A处无初速放到传送带上,运动到B处后进入匀速转动的转盘,设物品进入转盘时速度大小不发生变化,此后随转盘一起运动(无相对滑动)到C处被取走装箱.已知A、B两处的距离L=10m,传送带的传输速度v=2.0m/s,物品在转盘上与轴O的距离R=4.0m,物品与传送带间的动摩擦因数μ1=0.25.取g=10m/s2.(1)求物品从A处运动到B处的时间t?
(2)若物品在转盘上的最大静摩擦力可视为与滑动摩擦力大小相等,则物品与转盘间的动摩擦因数μ2至少为多大?
【答案】分析:(1)物品放在传送带上,先做匀加速直线运动,由牛顿第二定律和运动学公式结合求出此过程的位移,与传送带长度比较,分析有无匀速直线运动过程.再求出运动时间.
(2)物品在转盘上所受的静摩擦力提供向心力,当物品恰好要滑动时,静摩擦力达到最大值,根据牛顿第二定律求出动摩擦因数μ2的最小值.
解答:解:
(1)设物品质量为m,物品先在传送带上做初速度为零的匀加速直线运动,其位移大小为s1.
由 μ1mg=ma
v2=2as
得 s1=0.8m<L
之后,物品和传送带一起以速度v做匀速运动
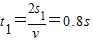
匀加速运动的时间
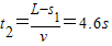
匀速运动的时间
所以物品从A处运动到B处的时间t=t1+t2=5.4s
(2)物品在转盘上所受的静摩擦力提供向心力,当物品在转盘上恰好无相对滑动时,有

得 μ2=
=0.1
答:(1)物品从A处运动到B处的时间t是5.4s;
(2)物品与转盘间的动摩擦因数μ2至少为0.1.
点评:本题是多过程问题,采用程序法分析.对于传送带问题,关键在于分析物体的受力情况和运动情况.对于圆周运动问题,关键在于分析向心力的来源.
(2)物品在转盘上所受的静摩擦力提供向心力,当物品恰好要滑动时,静摩擦力达到最大值,根据牛顿第二定律求出动摩擦因数μ2的最小值.
解答:解:
(1)设物品质量为m,物品先在传送带上做初速度为零的匀加速直线运动,其位移大小为s1.
由 μ1mg=ma
v2=2as
得 s1=0.8m<L
之后,物品和传送带一起以速度v做匀速运动
匀加速运动的时间
匀速运动的时间
所以物品从A处运动到B处的时间t=t1+t2=5.4s
(2)物品在转盘上所受的静摩擦力提供向心力,当物品在转盘上恰好无相对滑动时,有
得 μ2=
答:(1)物品从A处运动到B处的时间t是5.4s;
(2)物品与转盘间的动摩擦因数μ2至少为0.1.
点评:本题是多过程问题,采用程序法分析.对于传送带问题,关键在于分析物体的受力情况和运动情况.对于圆周运动问题,关键在于分析向心力的来源.
练习册系列答案
相关题目