题目内容
如图所示,光滑水平面与一半径为R处在竖平面内的光滑圆轨道相切,质量为m的小球(可视为质点)以初速度v向右运动进入圆轨道,在图中虚线位置脱离轨道,重力加速度为g,下述说法正确的是( )A.初速度v应满足
B.小球脱离轨道后做平抛运动
C.小球脱离轨道时的速度大小为
D.在脱离轨道之前小球对轨道的压力大小保持不变
【答案】分析:在图中虚线位置脱离轨道要求小球能运动到圆心之上,最高点之下,根据动能定理及向心力公式求解速度范围,小球脱离后做斜抛运动,脱落的瞬间轨道对小球的压力恰好为零,重力的指向圆心的分量提供向心力,再结合动能定理求解此时的速度,在最低点时小球对轨道的压力最大.
解答:解:A、若小球恰好运动到与圆心等高处,根据动能定理得:
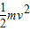
0-
=-mgR
解得:
若小球恰好能运动到最高点,此时重力提供向心力,根据向心力公式得:
mg=m
解得:v=
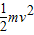
根据动能定理得:
-
=-2mgR
解得:
所以要使小球在图中虚线位置脱离轨道,则初速度v应满足
,故A正确;
B、小球脱离后做斜抛运动,故B错误;
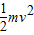
C、脱落的瞬间轨道对小球的压力恰好为零,重力的指向圆心的分量提供向心力,则有:
mgcosθ=
-
=-mg(R+Rcosθ)
解得:
,故C正确;
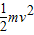
D、在最低点有:N-mg=
,此时速度最大,所以此时N也是最大的,故D错误.
故选AC
点评:本题主要考查了圆周运动向心力公式及动能定理的应用,知道小球脱离后做斜抛运动,脱落的瞬间轨道对小球的压力恰好为零,重力的指向圆心的分量提供向心力,难度适中.
解答:解:A、若小球恰好运动到与圆心等高处,根据动能定理得:
0-
解得:
若小球恰好能运动到最高点,此时重力提供向心力,根据向心力公式得:
mg=m
解得:v=
根据动能定理得:
解得:
所以要使小球在图中虚线位置脱离轨道,则初速度v应满足
B、小球脱离后做斜抛运动,故B错误;
C、脱落的瞬间轨道对小球的压力恰好为零,重力的指向圆心的分量提供向心力,则有:
mgcosθ=
解得:
D、在最低点有:N-mg=
故选AC
点评:本题主要考查了圆周运动向心力公式及动能定理的应用,知道小球脱离后做斜抛运动,脱落的瞬间轨道对小球的压力恰好为零,重力的指向圆心的分量提供向心力,难度适中.
练习册系列答案
相关题目