题目内容

(20分)如图所示,相互平行的足够长的光滑绝缘轨道MN和PQ水平固定,有一质量为m、电阻为R的水平导体框abcd(其长度ab=cd=L1宽度ad=bc=L2)可沿轨道滑动,滑动时ab、cd边始终保持与轨道垂直。轨道所在空间存在竖直方向的磁场,其磁感应强度B的大小沿x坐标正向(水平向右)按B=kx(k为已知的常数)随坐标x成正比增强。现对导体框施加一大小恒为F的外力,使它由静止开始从坐标原点O开始向右运动,问:

⑴若从上往下看,框中的感应电流方向为顺时针方向,那么磁场方向如何?导体框的运动情况如何?试定性作出描述。

⑵当导体框向右运动的速度为v时,框中的电流为多大?

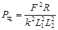
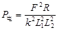
⑶导体框向右运动能提供的最大电功率为多大?

 

【答案】

 (1)竖直向上  先做加速度逐渐减小的加速运动,最终匀速运动  (2)k L2 L1v/R  (3)

【解析】

试题分析:⑴ 竖直向上(3分)

先做加速度逐渐减小的加速运动,最终匀速运动 (3分)

⑵ 回路电动势E=B2L1v-B1L1v=(B2-B1)L1v =k L2 L1v (5分)

   回路电流I= k L2 L1v/R(2分)

⑶ 导体框所受的安培力   (2分)

稳定运动时导体框受力平衡,有F= F  .(2分)

此时电功率为P=Fvm     (2分)

解得     (1分)

考点: 牛顿第二定、电磁感应定律、通电导体在磁场中受力、功率

 

练习册系列答案
相关题目

违法和不良信息举报电话:027-86699610 举报邮箱:58377363@163.com

精英家教网