ÌâÄ¿ÄÚÈÝ
ÒÑÖªÍòÓÐÒýÁ¦³£Á¿G£¬ÄÇôÔÚÏÂÁиø³öµÄ¸÷ÖÖÇé¾³ÖУ¬Äܸù¾Ý²âÁ¿µÄÊý¾ÝÇó³ö»ðÐÇÆ½¾ùÃܶȵÄÊÇ£¨ £©A£®ÔÚ»ðÐDZíÃæÊ¹Ò»¸öСÇò×ö×ÔÓÉÂäÌåÔ˶¯£¬²â³öÏÂÂäµÄ¸ß¶ÈHºÍʱ¼ät
B£®·¢ÉäÒ»¿ÅÌù½ü»ðÐDZíÃæÈÆ»ðÐÇ×öÔ²ÖÜÔ˶¯µÄ·É´¬£¬²â³ö·É´¬ÔËÐеÄÖÜÆÚT
C£®¹Û²ì»ðÐÇÈÆÌ«ÑôµÄÔ²ÖÜÔ˶¯£¬²â³ö»ðÐǵÄÖ±¾¶DºÍ»ðÐÇÈÆÌ«ÑôÔËÐеÄÖÜÆÚT
D£®·¢ÉäÒ»¿ÅÈÆ»ðÐÇ×öÔ²ÖÜÔ˶¯µÄÎÀÐÇ£¬²â³öÎÀÐÇÀë»ðÐDZíÃæµÄ¸ß¶ÈHºÍÎÀÐǵÄÖÜÆÚT
¡¾´ð°¸¡¿·ÖÎö£º£¨1£©»ðÐǵÄÃܶÈ
£¬Òª¼ÆËãÃܶȾÍÒªÖªµÀ»ðÐǵÄÖÊÁ¿ºÍ»ðÐǵİ뾶£»
£¨2£©¸ù¾ÝÌìÌåÔ˶¯ÖÐÍòÓÐÒýÁ¦ÌṩÏòÐÄÁ¦µÄ¹«Ê½Ö»ÄÜÇó³öÖÐÐÄÌìÌåµÄÖÊÁ¿£¬²»ÄÜËã³ö»·ÈÆÌìÌåµÄÖÊÁ¿£»
£¨3£©¸ù¾Ý¹«Ê½
ºÍÒÑÖªÌõ¼þÈ¥¼ÆËã»ðÐǵÄÖÊÁ¿ºÍ°ë¾¶£¬ÈçÄÜÇóµÃÖÊÁ¿ºÍ°ë¾¶¼´¿ÉÇóµÃÃܶȣ®
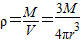
½â´ð£º½â£ºÉè»ðÐǵÄÖÊÁ¿ÎªM£¬°ë¾¶Îªr£¬Ôò»ðÐǵÄÃܶÈ
A£®ÔÚ»ðÐDZíÃæÊ¹Ò»¸öСÇò×ö×ÔÓÉÂäÌåÔ˶¯£¬²â³öÏÂÂäµÄ¸ß¶ÈHºÍʱ¼ät£¬¸ù¾ÝH=
£¬¿ÉÖªËã³ö»ðÐǵÄÖØÁ¦¼ÓËÙ¶È£¬¸ù¾Ý
£¬¿ÉÒÔËãµÃ»ðÐǵÄÖÊÁ¿£¬µ«²»ÖªµÀ»ðÐǵİ뾶£¬¹ÊÎÞ·¨Ëã³öÃܶȣ¬¹ÊA´íÎó£»
B£®¸ù¾Ý
µÃ£º
¼´
£¬ÒÑÖªT¾Í¿ÉËã³öÃܶȣ¬¹ÊBÕýÈ·£»
C£®¹Û²ì»ðÐÇÈÆÌ«ÑôµÄÔ²ÖÜÔ˶¯£¬Ö»ÄÜËã³öÌ«ÑôµÄÖÊÁ¿£¬ÎÞ·¨Ëã³ö»ðÐÇÖÊÁ¿£¬Ò²¾ÍÎÞ·¨Ëã³ö»ðÐÇÃܶȣ¬¹ÊC´íÎó£»
D£®²â³öÎÀÐÇÀë»ðÐDZíÃæµÄ¸ß¶ÈHºÍÎÀÐǵÄÖÜÆÚT£¬µ«ÊDz»ÖªµÀ»ðÐǵİ뾶£¬¹ÊÎÞ·¨Ëã³öÃܶȣ¬¹ÊD´íÎó£®
¹ÊÑ¡B£®
µãÆÀ£ºÒª¼ÆËãÃܶȾÍÒªÖªµÀ»ðÐǵÄÖÊÁ¿ºÍ»ðÐǵİ뾶£¬¶ø¸ù¾ÝÌìÌåÔ˶¯ÖÐÍòÓÐÒýÁ¦ÌṩÏòÐÄÁ¦µÄ¹«Ê½Ö»ÄÜÇó³öÖÐÐÄÌìÌåµÄÖÊÁ¿£¬²»ÄÜËã³ö»·ÈÆÌìÌåµÄÖÊÁ¿£¬ËùÒÔ»ðÐÇÖ»ÄÜ×÷ΪÖÐÐÄÌìÌ壮¸ÃÌâÄѶÈÊÊÖУ¬ÊôÓÚÖеµÌ⣮
£¨2£©¸ù¾ÝÌìÌåÔ˶¯ÖÐÍòÓÐÒýÁ¦ÌṩÏòÐÄÁ¦µÄ¹«Ê½Ö»ÄÜÇó³öÖÐÐÄÌìÌåµÄÖÊÁ¿£¬²»ÄÜËã³ö»·ÈÆÌìÌåµÄÖÊÁ¿£»
£¨3£©¸ù¾Ý¹«Ê½
½â´ð£º½â£ºÉè»ðÐǵÄÖÊÁ¿ÎªM£¬°ë¾¶Îªr£¬Ôò»ðÐǵÄÃܶÈ
A£®ÔÚ»ðÐDZíÃæÊ¹Ò»¸öСÇò×ö×ÔÓÉÂäÌåÔ˶¯£¬²â³öÏÂÂäµÄ¸ß¶ÈHºÍʱ¼ät£¬¸ù¾ÝH=
B£®¸ù¾Ý
C£®¹Û²ì»ðÐÇÈÆÌ«ÑôµÄÔ²ÖÜÔ˶¯£¬Ö»ÄÜËã³öÌ«ÑôµÄÖÊÁ¿£¬ÎÞ·¨Ëã³ö»ðÐÇÖÊÁ¿£¬Ò²¾ÍÎÞ·¨Ëã³ö»ðÐÇÃܶȣ¬¹ÊC´íÎó£»
D£®²â³öÎÀÐÇÀë»ðÐDZíÃæµÄ¸ß¶ÈHºÍÎÀÐǵÄÖÜÆÚT£¬µ«ÊDz»ÖªµÀ»ðÐǵİ뾶£¬¹ÊÎÞ·¨Ëã³öÃܶȣ¬¹ÊD´íÎó£®
¹ÊÑ¡B£®
µãÆÀ£ºÒª¼ÆËãÃܶȾÍÒªÖªµÀ»ðÐǵÄÖÊÁ¿ºÍ»ðÐǵİ뾶£¬¶ø¸ù¾ÝÌìÌåÔ˶¯ÖÐÍòÓÐÒýÁ¦ÌṩÏòÐÄÁ¦µÄ¹«Ê½Ö»ÄÜÇó³öÖÐÐÄÌìÌåµÄÖÊÁ¿£¬²»ÄÜËã³ö»·ÈÆÌìÌåµÄÖÊÁ¿£¬ËùÒÔ»ðÐÇÖ»ÄÜ×÷ΪÖÐÐÄÌìÌ壮¸ÃÌâÄѶÈÊÊÖУ¬ÊôÓÚÖеµÌ⣮
Á·Ï°²áϵÁдð°¸
Ïà¹ØÌâÄ¿
Ì«Ñôϵ°Ë´óÐÐÐÇÈÆÌ«ÑôÔ˶¯µÄ¹ìµÀ¿É´ÖÂÔµØÈÏΪÊÇÔ²£¬¸÷ÐÐÐǵİ뾶¡¢ÈÕÐǾàÀëºÍÖÊÁ¿ÈçϱíËùʾ£º
|
| A¡¢Ì«ÑôϵµÄ°Ë´óÐÐÐÇÖУ¬º£ÍõÐǵÄÔ²ÖÜÔ˶¯ËÙÂÊ×î´ó |
| B¡¢Ì«ÑôϵµÄ°Ë´óÐÐÐÇÖУ¬Ë®ÐǵÄÔ²ÖÜÔ˶¯ÖÜÆÚ×î´ó |
| C¡¢Èç¹ûÒÑÖªµØÇòµÄ¹«×ªÖÜÆÚΪ1Ä꣬ÍòÓÐÒýÁ¦³£Á¿G=6.67¡Á10-11Nm2/kg2£¬ÔÙÀûÓõØÇòºÍÌ«Ñô¼äµÄ¾àÀ룬Ôò¿ÉÒÔÇó³öÌ«ÑôµÄÖÊÁ¿ |
| D¡¢Èç¹ûÒÑÖªÍòÓÐÒýÁ¦³£Á¿G=6.67¡Á10-11Nm2/kg2£¬²¢ºöÂÔµØÇòµÄ×Ôת£¬ÀûÓõØÇòµÄ°ë¾¶ÒÔ¼°µØÇò±íÃæµÄÖØÁ¦¼Óg=10m/s2£¬Ôò¿ÉÒÔÇó³öÌ«ÑôµÄÖÊÁ¿ |