题目内容
2008年9月,神舟七号载人航天飞行获得了圆满成功,我国航天员首次成功实施空间出舱活动、飞船首次成功实施释放小伴星的实验,实现了我国空间技术发展的重大跨越.已知飞船在地球上空的圆轨道上运行时离地面的高度为h.地球半径为R,地球表面的重力加速度为g.求飞船在该圆轨道上运行时:(1)速度v的大小.
(2)速度v与第一宇宙速度的比值.
【答案】分析:飞船绕地球做匀速圆周运动,所受的万有引力提供向心力,由万有引力定律及牛顿第二定律结合黄金代换即可求出速度大小;然后再和第一宇宙速度v1=
相比较求比值.
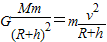
解答:解;(1)用M表示地球质量,m表示飞船质量,由万有引力定律和牛顿定律得:

对地球表面质量为m的物体,有
联立以上两式解得飞船在圆轨道上运行时速度
(2)对第一宇宙速度v1满足
即v1=
因此飞船在圆轨道上运行时速度与第一宇宙速度的比值
答:(1)飞船速度v的大小为
;
(2)飞船速度v与第一宇宙速度的比值是
.
点评:解答此题要明确飞船绕地球做匀速圆周运动,所受的万有引力提供向心力;近地卫星重力提供向心力;地球表面上的物体重力等于万有引力.
解答:解;(1)用M表示地球质量,m表示飞船质量,由万有引力定律和牛顿定律得:
对地球表面质量为m的物体,有
联立以上两式解得飞船在圆轨道上运行时速度
(2)对第一宇宙速度v1满足
因此飞船在圆轨道上运行时速度与第一宇宙速度的比值
答:(1)飞船速度v的大小为
(2)飞船速度v与第一宇宙速度的比值是
点评:解答此题要明确飞船绕地球做匀速圆周运动,所受的万有引力提供向心力;近地卫星重力提供向心力;地球表面上的物体重力等于万有引力.
练习册系列答案
相关题目