题目内容
如图所示,在网球的网前截击练习中,若练习者在球网正上方距地面H处,将球以速度v沿垂直球网的方向击出,球刚好落在底线上,已知底线到网的距离为L,重力加速度取g,将球的运动视作平抛运动,下列表述正确的是( )A.球的速度v等于
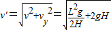
B.球从击出至落地时的速度为
C.球从击球点至落地点的位移等于L
D.球从击球点至落地过程中相同时间内速度变化不同
【答案】分析:平抛运动在水平方向上做匀速直线运动,在竖直方向上做自由落体运动,抓住水平位移和高度求出球的初速度,根据高度求出落地时竖直分速度,通过平行四边形定则求出落地时的速度.
解答:解:A、根据H=
得,t=
,则球的初速度
.故A正确.
B、小球落地时竖直分速度
,则落地的速度
.故B正确.
C、球从击球点至落地点的位移大小大于L.故C错误.
D、平抛运动加速度不变,则相同时间内速度变化相同.故D错误.
故选AB.
点评:解决本题的关键知道平抛运动的特点,以及知道平抛运动在水平方向和竖直方向上的运动规律,结合运动学公式进行求解.
解答:解:A、根据H=
B、小球落地时竖直分速度
C、球从击球点至落地点的位移大小大于L.故C错误.
D、平抛运动加速度不变,则相同时间内速度变化相同.故D错误.
故选AB.
点评:解决本题的关键知道平抛运动的特点,以及知道平抛运动在水平方向和竖直方向上的运动规律,结合运动学公式进行求解.
练习册系列答案
相关题目