题目内容
如图所示,能发射电子的阴极k和金属板P之间所加电压为U1,其右侧有一平行板电容器,已知平行板的板长为L,板间距离为d,且电容器的上极板带负电荷,下极板带等量的正电荷,在两极板间还存在有垂直于纸面的匀强磁场.从阴极k发出的电子被kP之间的电场加速后从P板上的小孔О射出,然后射入电容器并刚好从两板正中间沿直线ОО′射出电容器,如果在电子进入电容器前撤去板间电场而不改变磁场,则电子刚好能从平行板的右侧边缘射出,不计电子初速度、重力和电子间的相互作用,且整个装置放在真空中.求:(1)匀强磁场的磁感应强度的方向;
(2)加在电容器两板间的电压.
【答案】分析:(1)在撤去电场前,电子受到电场力和洛伦兹力作用,沿直线运动,则电场力和洛伦兹力平衡,电子做匀速直线运动.电场力方向向下,磁场力方向向上,根据左手定则判断磁场方向.
(2)未撤去电场时,由平衡条件求出磁感应强度B.撤去板间电场而不改变磁场时,电子受洛伦兹力作用做匀速圆周运动.电子刚好能从平行板的右侧边缘射出,根据板长和板间距离求出电子运动的半径.根据牛顿第二定律求解电容器两板间的电压.
解答:解:(1)在撤去电场前,电子做匀速直线运动,电场力和洛伦兹力平衡.由于电场力方向向下,故洛伦兹力方向向上,由左手定则可知,磁场方向垂直于纸面向外.
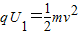
(2)电子在加速过程中有
得到v=
①
电子刚好从板边缘射出,设运动的轨道半径为R,
则有
②
电子在磁场中运动时有
得到R=
③
电子沿直线运动时有
得到B=
④
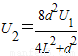
联立①②③④解得加在电容器两板间的电压

答:(1)匀强磁场的磁感应强度的方向垂直于纸面向外;
(2)加在电容器两板间的电压
.
点评:本题电磁场中力学问题,基础是分析带电粒子的受情况和运动情况.题中正交的电磁场是速度选择器模型.
(2)未撤去电场时,由平衡条件求出磁感应强度B.撤去板间电场而不改变磁场时,电子受洛伦兹力作用做匀速圆周运动.电子刚好能从平行板的右侧边缘射出,根据板长和板间距离求出电子运动的半径.根据牛顿第二定律求解电容器两板间的电压.
解答:解:(1)在撤去电场前,电子做匀速直线运动,电场力和洛伦兹力平衡.由于电场力方向向下,故洛伦兹力方向向上,由左手定则可知,磁场方向垂直于纸面向外.
(2)电子在加速过程中有
得到v=
电子刚好从板边缘射出,设运动的轨道半径为R,
则有
电子在磁场中运动时有
得到R=
电子沿直线运动时有
得到B=
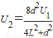
联立①②③④解得加在电容器两板间的电压
答:(1)匀强磁场的磁感应强度的方向垂直于纸面向外;
(2)加在电容器两板间的电压
点评:本题电磁场中力学问题,基础是分析带电粒子的受情况和运动情况.题中正交的电磁场是速度选择器模型.
练习册系列答案
相关题目