题目内容
一个小球从静止开始从O点沿斜面以恒定的加速度滚下来,依次通过A、B、C三点,已知AB=18m,BC=30m,小球通过AB、BC所用的时间均为2s,求:(1)小球沿斜面下滑时的加速度大小?
(2)小球通过A、B、C三点时的速度大小分别是多少?
(3)OA两点之间的距离为多少?
【答案】分析:(1)在连续相等时间内的位移之差是一恒量,根据△x=aT2求出小球沿斜面下滑的加速度.
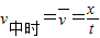
(2)在某段时间内的平均速度等于中间时刻的瞬时速度,根据该推论求出B点的速度,再根据速度时间公式求出A、C两点的速度.
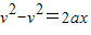
(3)根据速度位移公式
,求出OA两点之间的距离.
解答:解:(1)根据△x=aT2,可得
(2)根据
,可得
根据vt=v+at,可得vC=vB+at=12+3×2m/s=18m/s
根据vt=v+at,可得vB=vA+at?vA=vB-at=12-3×2m/s=6m/s
小球通过A、B、C三点时的速度分别是vA=6m/s,vB=12m/s,vC=18m/s
(3)根据vt2-v2=2ax 则vA2-0=2ax
?(6m/s)2-0=2×3m/s2×xOA
xOA=6m.
故OA两点的距离为6m.
点评:解决本题的关键掌握匀变速直线运动中,在连续相等时间内的位移之差是一恒量,即△x=aT2,以及在某段时间内的平均速度等于中间时刻的瞬时速度.
(2)在某段时间内的平均速度等于中间时刻的瞬时速度,根据该推论求出B点的速度,再根据速度时间公式求出A、C两点的速度.
(3)根据速度位移公式
解答:解:(1)根据△x=aT2,可得
(2)根据
根据vt=v+at,可得vC=vB+at=12+3×2m/s=18m/s
根据vt=v+at,可得vB=vA+at?vA=vB-at=12-3×2m/s=6m/s
小球通过A、B、C三点时的速度分别是vA=6m/s,vB=12m/s,vC=18m/s
(3)根据vt2-v2=2ax 则vA2-0=2ax
?(6m/s)2-0=2×3m/s2×xOA
xOA=6m.
故OA两点的距离为6m.
点评:解决本题的关键掌握匀变速直线运动中,在连续相等时间内的位移之差是一恒量,即△x=aT2,以及在某段时间内的平均速度等于中间时刻的瞬时速度.
练习册系列答案
相关题目