题目内容
如图所示装置中,区域Ⅰ和Ⅲ中分别有竖直向上和水平向右的匀强电场,电场强度分别为E和(1)粒子在Ⅱ区域匀强磁场中运动的轨道半径
(2)O、M间的距离
(3)粒子从M点出发到第二次通过CD边界所经历的时间.
【答案】分析:(1)带电粒子在匀强电场Ⅰ中做类平抛运动,水平方向做匀速直线运动,竖直方向做初速度为零的匀加速运动,由题意,粒子经过A点的速度方向与OP成60°角,即可求出此时粒子的速度.粒子在匀强磁场中做匀速圆周运动,由洛伦兹力提供向心力,由牛顿第二定律即可求出轨道半径.
(2)粒子在匀强电场中运动时,由牛顿第二定律求得加速度,在A点,竖直方向的速度大小为vy=vtan60°,由速度公式求解时间,由位移求得O、M间的距离.
(3)画出粒子在Ⅱ区域磁场中的运动轨迹,由几何知识求出轨迹对应的圆心角θ,根据t=
,求出在磁场中运动的时间.粒子进入Ⅲ区域的匀强电场中后,先向右做匀减速运动,后向左做匀加速运动,第二次通过CD边界.由牛顿第二定律和运动学公式结合可求得粒子在Ⅲ区域电场中运行时间,即可求解粒子从M点出发到第二次通过CD边界所用时间.
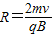
解答:解:(1)粒子在匀强电场中做类平抛运动,水平方向做匀速直线运动,设粒子过A点时速度为v,
由类平抛运动的规律知
粒子在匀强磁场中做匀速圆周运动,由牛顿第二定律得

所以
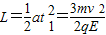
(2)设粒子在电场中运动时间为t1,加速度为a.

则有qE=ma
vtan60°=at1
即
O、M两点间的距离为
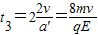
(3)设粒子在Ⅱ区域磁场中运动时间为t2.
则由几何关系知轨道的圆心角∠AO1D=60°,则

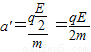
设粒子在Ⅲ区域电场中运行时间为t3,则牛顿第二定律得

则
故粒子从M点出发到第二次通过CD边界所用时间为

答:
(1)粒子在Ⅱ区域匀强磁场中运动的轨道半径是
.
(2)O、M间的距离是
.
(3)粒子从M点出发到第二次通过CD边界所经历的时间是
+
.
点评:本题中带电粒子在复合场中运动,运用运动的分解法研究类平抛运动,画轨迹是处理粒子在匀强磁场中做匀速圆周运动的关键.
(2)粒子在匀强电场中运动时,由牛顿第二定律求得加速度,在A点,竖直方向的速度大小为vy=vtan60°,由速度公式求解时间,由位移求得O、M间的距离.
(3)画出粒子在Ⅱ区域磁场中的运动轨迹,由几何知识求出轨迹对应的圆心角θ,根据t=
解答:解:(1)粒子在匀强电场中做类平抛运动,水平方向做匀速直线运动,设粒子过A点时速度为v,
由类平抛运动的规律知
粒子在匀强磁场中做匀速圆周运动,由牛顿第二定律得
所以
(2)设粒子在电场中运动时间为t1,加速度为a.
则有qE=ma
vtan60°=at1
即
O、M两点间的距离为
(3)设粒子在Ⅱ区域磁场中运动时间为t2.
则由几何关系知轨道的圆心角∠AO1D=60°,则
设粒子在Ⅲ区域电场中运行时间为t3,则牛顿第二定律得
则
故粒子从M点出发到第二次通过CD边界所用时间为
答:
(1)粒子在Ⅱ区域匀强磁场中运动的轨道半径是
(2)O、M间的距离是
(3)粒子从M点出发到第二次通过CD边界所经历的时间是
点评:本题中带电粒子在复合场中运动,运用运动的分解法研究类平抛运动,画轨迹是处理粒子在匀强磁场中做匀速圆周运动的关键.
练习册系列答案
相关题目