题目内容
甲、乙两车在公路上沿同一方向做直线运动,v-t图像如图所示,两图像在t=t1时刻相交,乙车从t=0开始到停下所通过的位移为S。t=0时刻,甲在乙前面,相距为d。已知此后两车可以相遇两次,且第一次相遇时刻为t’,则下列四组 t’和d的组合可能是:
![]()
A.t’=t1 d=3S/4
B.t’=t1 d= S/4
C.t’= t1/2 d=3S/16
D.t’= t1/2 d=3S/8
【答案】
C
【解析】
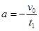
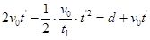
试题分析:因为乙车从t=0开始到停下所通过的位移为S,则
,乙的加速度为
,两车相遇时满足
,即
,将四组数据打入此式,只有当t’= t1/2 d=3S/16 时满足此式。所以选项C正确。
考点:运动图像及追击问题。
练习册系列答案
相关题目
| A、在t′时刻,乙车的速度大于甲车的速度 | ||||
B、如果第一次相遇的时刻t′=
| ||||
C、如果第一次相遇的时刻t′=
| ||||
D、如果第一次相遇的时刻t′=
|