题目内容
一质点从静止开始做匀加速直线运动,质点在第3s末的速度为6m/s,求:(1)物体的加速度大小;
(2)物体在3s内的位移;
(3)物体在第4s内的平均速度.
【答案】分析:质点做初速度为0的匀加速直线运动,据速度时间关系v=at,已知时间t和3s末的速度v,可得加速度a,加速度求出后,据位移时间关系x=
可得物体在3s内的位移,已知物体3s末的速度,同时已知加速度可求物体在4s末的速度,所以第4s内的平均速度
可得物体在第4s内的平均速度.
解答:解:
(1)∵物体做初速度为0的匀加速直线运动,且已知3s末的速度为6m/s
∴由v=at得,物体的加速度a=
(2)∵物体做初速度为0的匀加速直线运动,由(1)得加速度a=2m/s2,求3s内的位移
∴据位移时间关系x=
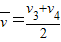
(3)由题意知物体初速度为0的匀加速直线运动且在第3s末的速度v3=6m/s,物体的加速度为a=2m/s2,则物体在第4s末的速度v4=at=2×4m/s=8m/s
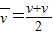
∴由匀变速直线运动的
可得物体在第4s内的平均速度
.
答:(1)物体的加速度大小为a=2m/s2;
(2)物体在3s内的位移为9m;
(3)物体在第4s内的平均速度为7m/s
点评:熟悉初速度为0的匀加速直线运动的速度时间关系和位移时间关系,由题目给定的数据直接代入可得加速度和位移,要注意第4s内的平均速度与4s内平均速度的区别.
解答:解:
(1)∵物体做初速度为0的匀加速直线运动,且已知3s末的速度为6m/s
∴由v=at得,物体的加速度a=
(2)∵物体做初速度为0的匀加速直线运动,由(1)得加速度a=2m/s2,求3s内的位移
∴据位移时间关系x=
(3)由题意知物体初速度为0的匀加速直线运动且在第3s末的速度v3=6m/s,物体的加速度为a=2m/s2,则物体在第4s末的速度v4=at=2×4m/s=8m/s
∴由匀变速直线运动的
答:(1)物体的加速度大小为a=2m/s2;
(2)物体在3s内的位移为9m;
(3)物体在第4s内的平均速度为7m/s
点评:熟悉初速度为0的匀加速直线运动的速度时间关系和位移时间关系,由题目给定的数据直接代入可得加速度和位移,要注意第4s内的平均速度与4s内平均速度的区别.
练习册系列答案
相关题目
一质点从静止开始做匀加速运动.从开始运动起,通过连续三段位移所经历的时间依次为T、1.5T、2T,则这三段位移的大小之比为( )
| A、1:2:3 | B、4:21:56 | C、1:4:9 | D、1:8:27 |