题目内容

神舟五号载人飞船在绕地球飞行的第5圈进行变轨,由原来的椭圆轨道变为距地面高度h=342km的圆形轨道,已知地球半径R=6.37×103km,地面处的重力加速度g=10m/s2.试导出飞船在上述圆轨道上运行的周期T的公式(用h、R、g表示),然后计算周期T的数值(保留两位有效数字).

答案:
解析:

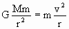
  设地球质量为M,飞船质量为m,速度为v,圆轨道的半径为r,由万有引力和牛顿第二定律,有

      ,  T=

地面附近

     =mg

由已知条件

     r=R+h

解以上各式得

      T=

代入数值,得

      T=5.4×103s


练习册系列答案
相关题目

违法和不良信息举报电话:027-86699610 举报邮箱:58377363@163.com

精英家教网