题目内容
如图所示,电荷量均为+q、质量分别为m和3m的小球A和B,中间连接质量不计的细绳,在竖直方向的匀强电场中以速度v匀速上升.若不计两带电小球间的库仑力作用,某时刻细绳断开,求:(1)电场强度及细绳断开后A、B两球的加速度;
(2)当B球速度为零时,A球速度的大小;
(3)从绳断开至B球速度为零的过程中,两球组成系统的机械能增量为多少?
【答案】分析:(1)根据受力平衡条件,可确定电场强度;再由牛顿第二定律,即可求解;
(2)根据系统的动量守恒定律,即可求解;
(3)根据运动学公式,及电场力做功导致系统的机械能减小,即可求解.
解答:解:(1)由于两小球是匀速上升的,由平衡条件有
2qE=4mg
解得电场强度
.
绳断开后,对A球由牛顿第二定律有 qE-mg=maA
解得 aA=g,方向向上.
对B球有 qE-3mg=3maB
解得 aB=-
g,方向向下.
(2)两球所组成的系统的动量守恒,当B球的速度为零时,有
(m+3m)v=mvA
解得 vA=4v.
(3)绳断开后,B球匀减速上升,设当速度为零时所用的时间为t,则
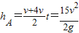
此过程A、B球上升的高度分别为

此过程中,两球所组成的系统的机械能的增量等于电场力对两球做的功,即
△E=qEhA+=18mv2
答:(1)电场强度及细绳断开后aA=g,方向向上,aB=-
g,方向向下;
(2)当B球速度为零时,A球速度的大小4v;
(3)从绳断开至B球速度为零的过程中,两球组成系统的机械能增量为18mv2.
点评:考查平衡条件、牛顿第二定律、动量守恒定律及运动学公式的应用,掌握机械能守恒条件,理解除重力之外的力做功导致机械能变化.
(2)根据系统的动量守恒定律,即可求解;
(3)根据运动学公式,及电场力做功导致系统的机械能减小,即可求解.
解答:解:(1)由于两小球是匀速上升的,由平衡条件有
2qE=4mg
解得电场强度
绳断开后,对A球由牛顿第二定律有 qE-mg=maA
解得 aA=g,方向向上.
对B球有 qE-3mg=3maB
解得 aB=-
(2)两球所组成的系统的动量守恒,当B球的速度为零时,有
(m+3m)v=mvA
解得 vA=4v.
(3)绳断开后,B球匀减速上升,设当速度为零时所用的时间为t,则
此过程A、B球上升的高度分别为
此过程中,两球所组成的系统的机械能的增量等于电场力对两球做的功,即
△E=qEhA+=18mv2
答:(1)电场强度及细绳断开后aA=g,方向向上,aB=-
(2)当B球速度为零时,A球速度的大小4v;
(3)从绳断开至B球速度为零的过程中,两球组成系统的机械能增量为18mv2.
点评:考查平衡条件、牛顿第二定律、动量守恒定律及运动学公式的应用,掌握机械能守恒条件,理解除重力之外的力做功导致机械能变化.
练习册系列答案
相关题目