题目内容

新疆达坂城风口的风速约为υ = 20m/s,设该地空气的密度为ρ = 1.4kg/m3,若把通过横截面积S = 20m2的风能的50%转化为电能,利用上述已知量推导计算电功率的公式,并求出发电机电功率的大小。

 

【答案】

 ,  

【解析】

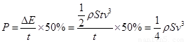
试题分析:首先建立风的“柱体模型”,如图所示,

设经过时间通过截面的空气的质量为,则有。这部分空气的动能为

因为风的动能只有转化为电能,所以其电功率表达式为

代入数据得

考点:本题考查了能源的开发和利用;电功率;能量守恒定律。

 

练习册系列答案
相关题目

违法和不良信息举报电话:027-86699610 举报邮箱:58377363@163.com

精英家教网