题目内容
如图所示,底座A上装有长0.5m的直立杆,其总质量为0.2kg,杆上套有质量为0.05kg的小环B,它与杆有摩擦.当环从座上以4m/s的速度起飞时,刚好能到达杆顶,求:(1)在环升起过程中,底座对水平面的压力多大?
(2)小环从杆顶落回底座需多长时间?(g=10m/s2)
【答案】分析:(1)根据速度位移公式求出环上升时的加速度大小,根据牛顿第二定律求出对环的阻力大小,在对A受力分析,运用共点力平衡求出底座对水平面的压力.
(2)根据牛顿第二定律求出环下滑时的加速度,再根据位移时间公式求出运动的时间.
解答:解:(1)由v2=2ax得,a=
.
对B受力分析,由牛顿第二定律得,f+mBg=mBa,解得f=0.3N.
对A受力分析,由平衡条件得,N+f=mAg,解得N=1.7N.
由牛顿第三定律得,N′=N=1.7N.
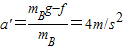
(2)B下滑时对B受力分析,由牛顿第二定律得,mBg-f=mBa′
解得
.
由
得,t=0.5s.
答:(1)在环升起过程中,底座对水平面的压力为1.7N.
(2)小环从杆顶落回底座需0.5s.
点评:解决本题的关键知道加速度是联系前后的桥梁,根据加速度可以根据力求运动,也可以根据运动求力.
(2)根据牛顿第二定律求出环下滑时的加速度,再根据位移时间公式求出运动的时间.
解答:解:(1)由v2=2ax得,a=
对B受力分析,由牛顿第二定律得,f+mBg=mBa,解得f=0.3N.
对A受力分析,由平衡条件得,N+f=mAg,解得N=1.7N.
由牛顿第三定律得,N′=N=1.7N.
(2)B下滑时对B受力分析,由牛顿第二定律得,mBg-f=mBa′
解得
由
答:(1)在环升起过程中,底座对水平面的压力为1.7N.
(2)小环从杆顶落回底座需0.5s.
点评:解决本题的关键知道加速度是联系前后的桥梁,根据加速度可以根据力求运动,也可以根据运动求力.
练习册系列答案
相关题目