题目内容

 两根足够长的光滑平行直导轨MN、PQ与水平面成θ角放置,两导轨间距为L,M、P两点间接有阻值为R的电阻.一根质量为m的均匀直金属杆ab放在两导轨上,并与导轨垂直.整套装置处于磁感应强度为B的匀强磁场中,磁场方向垂直于导轨平面向上,导轨和金属杆接触良好,它们的电阻不计.现让ab杆由静止开始沿导轨下滑.

(1)求ab杆下滑的最大速度vm

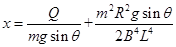
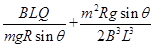
(2)ab杆由静止释放至达到最大速度的过程中,电阻R产生的焦耳热为Q,求该过程中ab杆下滑的距离x及通过电阻R的电量q.

 

【答案】

(1)  (2) , q=

【解析】

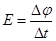
试题分析:(1)金属杆ab切割磁感线产生的感应电动势大小为E=BLv

电路中电流  

金属杆所受安培力FA=BIL   

设金属杆ab运动的加速度为a,则

Mgsinθ - FA=ma   

当加速度为零时,速度达最大,速度最大值为 

(2)根据能量守恒定律有  

解得  

根据法拉第电磁感应定律有 

根据闭合电路欧姆定律 有 

故感应电荷量 

解得q=  

考点:此题考查了法拉第电磁感应定律、牛顿第二定律及能量守恒定律。

 

练习册系列答案
相关题目

违法和不良信息举报电话:027-86699610 举报邮箱:58377363@163.com

精英家教网