题目内容
如图甲所示,建立Oxy坐标系,两平行极板P、Q垂直于y轴且关于x轴对称,极板长度和板间距均为l,第一四象限有磁场,方向垂直于Oxy平面向里.位于极板左侧的粒子源沿x轴间右连接发射质量为m、电量为+q、速度相同、重力不计的带电粒子在0~3t时间内两板间加上如图乙所示的电压(不考虑极边缘的影响).已知t=0时刻进入两板间的带电粒子恰好在t时,刻经极板边缘射入磁场.上述m、q、l、l、B为已知量.(不考虑粒子间相互影响及返回板间的情况)
(1)求电压U的大小.
(2)求
(3)何时刻进入两极板的带电粒子在磁场中的运动时间最短?求此最短时间.
【答案】分析:(1)t=0时刻进入两极板的带电粒子在电场中做类平抛运动.由题知道x方向位移为l,y方向位移为
,运用运动的分解,根据牛顿第二定律和运动学公式求解U.
(2)
时刻进入两极板的带电粒子,前
时间在电场中偏转,后
时间两极板没有电场,带电粒子做匀速直线运动.根据运动学规律求出y方向分速度与x方向分速度,再合成求出
粒子进入磁场时的速度,则牛顿定律求出粒子在磁场中做圆周运动的半径.
(3)带电粒子在磁场中运动的周期一定,当轨迹的圆心角最小时,在磁场中运动的时间最短.
解答:
解:(1)t=0时刻进入两极板的带电粒子在电场中做匀变速曲线运动,t时刻刚好从极板边缘射出,
则有 y=
,x=l
由
①,Eq=ma②,y=
③
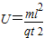
联立以上三式,解得两极板间偏转电压为
④.
(2)
时刻进入两极板的带电粒子,前
时间在电场中偏转,后
时间两极板没有电场,带电粒子做匀速直线运动.
由题,带电粒子沿x轴方向的分速度大小为
⑤
带电粒子离开电场时沿y轴负方向的分速度大小为
⑥
带电粒子离开电场时的速度大小为
⑦
设带电粒子离开电场进入磁场做匀速圆周运动的半径为R,
则有
⑧,联立③⑤⑥⑦⑧式
解得
⑨
(3)在t=0或2t时刻进入两极板的带电粒子,在电场中做类平抛运动的时间最长,飞出极板时速度方向与磁场边界的夹角最小,而根据轨迹几何知识可知,轨迹的圆心角等于粒子射入磁场时速度方向与边界夹角的2倍,所以在t=0或2t时刻进入两极板的带电粒子在磁场中运动时间最短.
带电粒子离开磁场时沿y轴正方向的分速度为vy′=at⑩,
设带电粒子离开电场时速度方向与y轴正方向的夹角为α,则
,
联立③⑤⑩式解得
,带电粒子在磁场运动的轨迹图如图所示,圆弧所对的圆心角为
,
所求最短时间为
,
带电粒子在磁场中运动的周期为
,联立以上两式解得
.
点评:考查了考生分析、推理和综合能力,试题涉及的知识点较多,但只要认真分析物理过程,找准物理过程对应的物理规律,还是容易求解.
(2)
粒子进入磁场时的速度,则牛顿定律求出粒子在磁场中做圆周运动的半径.
(3)带电粒子在磁场中运动的周期一定,当轨迹的圆心角最小时,在磁场中运动的时间最短.
解答:
则有 y=
由
联立以上三式,解得两极板间偏转电压为
(2)
由题,带电粒子沿x轴方向的分速度大小为
带电粒子离开电场时沿y轴负方向的分速度大小为
带电粒子离开电场时的速度大小为
设带电粒子离开电场进入磁场做匀速圆周运动的半径为R,
则有
解得
(3)在t=0或2t时刻进入两极板的带电粒子,在电场中做类平抛运动的时间最长,飞出极板时速度方向与磁场边界的夹角最小,而根据轨迹几何知识可知,轨迹的圆心角等于粒子射入磁场时速度方向与边界夹角的2倍,所以在t=0或2t时刻进入两极板的带电粒子在磁场中运动时间最短.
带电粒子离开磁场时沿y轴正方向的分速度为vy′=at⑩,
设带电粒子离开电场时速度方向与y轴正方向的夹角为α,则
联立③⑤⑩式解得
所求最短时间为
带电粒子在磁场中运动的周期为
点评:考查了考生分析、推理和综合能力,试题涉及的知识点较多,但只要认真分析物理过程,找准物理过程对应的物理规律,还是容易求解.
练习册系列答案
相关题目