题目内容
为了探测X星球,载着登陆舱的探测飞船在该星球中心为圆心,半径为r1的圆轨道上运动,周期为T1,总质量为m1.随后登陆舱脱离飞船,变轨到离星球更近的半径为r2 的圆轨道上运动,此时登陆舱的质量为m2则X星球的质量为______1| GT | 21 |
【答案】分析:研究飞船绕星球做匀速圆周运动,根据万有引力提供向心力,列出等式求出中心体的质量.
研究登陆舱绕星球做匀速圆周运动,根据万有引力提供向心力,列出等式表示出线速度和周期.再通过不同的轨道半径进行比较.
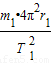
解答:解:1、研究载着登陆舱的探测飞船在该星球中心为圆心,半径为r1的圆轨道上运动,
根据万有引力提供向心力,列出等式:
=
M=
2、研究登陆舱绕星球做匀速圆周运动,根据万有引力提供向心力有:
在半径为r的圆轨道上运动:
=m
得出:v=
,表达式里M为中心体星球的质量,r为运动的轨道半径.
所以登陆舱在r1与r2轨道上运动时的速度大小之比为:
=
.
3、X星球表面上方卫星的周期为T(可以认为卫星轨道半径与X星球半径相等),设X星球半径为R,
根据万有引力提供向心力,列出等式:
=
M=
则X星球的平均密度为ρ=
=
.
故答案为:
,
,
.
点评:求一个物理量之比,我们应该把这个物理量先用已知的物理量表示出来,再进行之比.
向心力的公式选取要根据题目提供的已知物理量或所求解的物理量选取应用.
研究登陆舱绕星球做匀速圆周运动,根据万有引力提供向心力,列出等式表示出线速度和周期.再通过不同的轨道半径进行比较.
解答:解:1、研究载着登陆舱的探测飞船在该星球中心为圆心,半径为r1的圆轨道上运动,
根据万有引力提供向心力,列出等式:
M=
2、研究登陆舱绕星球做匀速圆周运动,根据万有引力提供向心力有:
在半径为r的圆轨道上运动:
所以登陆舱在r1与r2轨道上运动时的速度大小之比为:
3、X星球表面上方卫星的周期为T(可以认为卫星轨道半径与X星球半径相等),设X星球半径为R,
根据万有引力提供向心力,列出等式:
M=
则X星球的平均密度为ρ=
故答案为:
点评:求一个物理量之比,我们应该把这个物理量先用已知的物理量表示出来,再进行之比.
向心力的公式选取要根据题目提供的已知物理量或所求解的物理量选取应用.
练习册系列答案
相关题目