题目内容

已知地球质量为M,半径为R,自转周期为T,地球同步卫星质量为m,引力常量为G,有关同步卫星,下列表述正确的是(       )

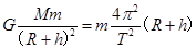
A、卫星距地面的高度为

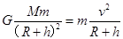
B、卫星的运行速度小于第一宇宙速度

C、卫星运行时受到的向心力大小为

D、卫星运行的向心加速度小于地球表面的重力加速度

 

【答案】

BD

【解析】

试题分析:设同步卫星离地面的高度为h,由,得;由,得卫星的运行速度;同步卫星所需要的向心力是由地球对其的万有引力提供,即;卫星运行的向心加速度,所以正确选项为B、D。

考点:本题考查了万有引力定律及应用。

 

练习册系列答案
相关题目

违法和不良信息举报电话:027-86699610 举报邮箱:58377363@163.com

精英家教网