题目内容

如图所示,小车长l=2m,质量=1kg,静止在光滑的水平面上,质量=1kg的物体在小车上以=2.5m/s的水平速度从A端向B端滑动,若间的动摩擦因数μ=0.05,求:

(1)多长时间后物体脱离小车?

(2)在车上滑动过程中对小车的摩擦力所做的正功和小车对的摩擦力所做的负功各是多少?(g=10m/)

答案:1s;0.125J,1.125J
解析:

(1)物体滑上小车后开始向右做匀减速运动,同时小车受物体给它向右的滑动摩擦力的作用,开始向右做初速度为零的匀加速运动,设物体和小车加速度大小分别为,则,设经时间t脱离小车,

,得t=1st=4s(舍去)

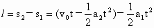
(2)解法一:.小车位移

解法二:应用动能定理求,物体与小车分离时,物体速度,小车的速度,对小车应用动能定理得,对物体用动能定理,


练习册系列答案
相关题目

违法和不良信息举报电话:027-86699610 举报邮箱:58377363@163.com

精英家教网