ÌâÄ¿ÄÚÈÝ

£¨12·Ö£©Ò»Ë®Æ½´«ËÍ´øÒÔ2.0m£¯sµÄËÙ¶È˳ʱÕë´«¶¯£¬Ë®Æ½²¿·Ö³¤Îª2.0m¡££¬ÆäÓÒ¶ËÓëÒ»Çã½ÇΪ¦È=37¡ãµÄ¹â»¬Ð±ÃæÆ½»¬ÏàÁ¬£¬Ð±Ã泤Ϊ0.4m£¬Ò»¸ö¿ÉÊÓΪÖʵãµÄÎï¿éÎÞ³õËٶȵطÅÔÚ´«ËÍ´ø×î×ó¶Ë£¬ÒÑÖªÎï¿éÓë´«ËÍ´ø¼ä¶¯Ä¦²ÁÒòÊý¦Ì=0.2£¬ÊÔÎÊ£º

(1)Îï¿éÄÜ·ñµ½´ïÐ±Ãæ¶¥¶Ë?ÈôÄÜÔò˵Ã÷ÀíÓÉ£¬Èô²»ÄÜÔòÇó³öÎï¿éÑØÐ±ÃæÉÏÉýµÄ×î´ó¾àÀ룮

(2)Îï¿é´Ó³ö·¢µ½4.5sĩͨ¹ýµÄ·³Ì£®(sin37¡ã=0.6£¬ gÈ¡l0 m/s2)

 

¡¾´ð°¸¡¿

£¨1£©s2<0.4m    (2) s=5m

¡¾½âÎö¡¿

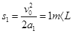
ÊÔÌâ·ÖÎö£º£¨1£©Îï¿éÔÚ´«ËÍ´øÉÏÏÈ×öÔȼÓËÙÖ±ÏßÔ˶¯

¦Ìmg=mal       ¢Ù   £¨1·Ö£©

         ¢Ú£¨1·Ö£©

ËùÒÔÔÚµ½´ï´«ËÍ´øÓÒ¶ËǰÎï¿éÒÑÔÈËÙ

Îï¿éÒÔ¦Í0ËÙ¶È»¬ÉÏÐ±Ãæ

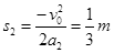
Ò»mgsin¦È=ma2         ¢Û£¨1·Ö£©

Îï¿éËÙ¶ÈΪÁãʱÉÏÉýµÄ¾àÀë

        ¢Ü  £¨1·Ö£©

ÓÉÓÚs2<0.4m£¬ËùÒÔÎï¿éδµ½´ïÐ±ÃæµÄ×î¸ßµã£®     £¨1·Ö£©

(2)£¨7·Ö£©Îï¿é´Ó¿ªÊ¼µ½µÚÒ»´Îµ½´ï´«ËÍ´øÓÒ¶ËËùÓÃʱ¼ä

        ¢Þ     £¨1·Ö£©

Îï¿éÔÚÐ±ÃæÉÏÍù·µÒ»´Îʱ¼ä

       ¢ß    £¨1·Ö£©

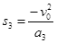
Îï¿éÔٴ묵½´«ËÍ´øÉÏËÙ¶ÈÈÔΪ¦Í0£¬·½ÏòÏò×ó

Ò»¦Ìmg =ma3        ¢à       £¨1·Ö£©

Ïò×ó¶Ë·¢ÉúµÄ×î´óÎ»ÒÆ

       ¢á(2·Ö)

Îï¿éÏò×óµÄ¼õËٶȺÍÏòÓҵļÓËÙ¹ý³ÌÖÐÎ»ÒÆ´óСÏàµÈ

4.5sÄ©Îï¿éÔÚÐ±ÃæÉÏËÙ¶ÈÇ¡ºÃ¼õΪÁã

¹ÊÎï¿éͨ¹ýµÄ×Ü·³Ì

s=L+3s2+2s3       ¢â   (2·Ö)

s=5m

¿¼µã£º±¾Ì⿼²éÅ£¶ÙµÚ¶þ¶¨ÂÉ¡¢Ô˶¯Ñ§¹ØÏµ¡£

 

Á·Ï°²áϵÁдð°¸
Ïà¹ØÌâÄ¿

Î¥·¨ºÍ²»Á¼ÐÅÏ¢¾Ù±¨µç»°£º027-86699610 ¾Ù±¨ÓÊÏ䣺58377363@163.com

¾«Ó¢¼Ò½ÌÍø