题目内容

如图所示,面积为0.2m2的100匝线圈处在匀强磁场中,磁场方向垂直于线圈平面,已知磁感应强度随时间变化规律为B=2+0.2t(T),定值电阻R1=6Ω,线圈电阻R2=4Ω,试求:(1)回路的磁量变化();(2)回路感应电动势(ε);(3)回路中的电流强度.

答案:
解析:

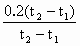
  (1)t1时刻,B1=2+0.2t1,t2时刻B2=2+0.2t2则ΔB=B2-B1=0.2(t2-t1)

  =0.2

  =S=0.2×0.2=0.04(Wb/s)

  (2)由ε=n

  ε=nS=100×0.04=4V

  (3)等效电阻如图所示其中r=R2

  由全电路欧姆定律得

  I=

  ==0.4


练习册系列答案
相关题目

违法和不良信息举报电话:027-86699610 举报邮箱:58377363@163.com

精英家教网