题目内容

(16分)如图所示,MN为两块带等量异种电荷的平行金属板,两板间电压可取从零到某一最大值之间的各种数值。静止的带电粒子带电量为+q,质量为m(不计重力),从点P经电场加速后,从小孔 Q进入N板右侧的匀强磁场区域,磁感应强度大小为B,方向垂直于纸面向外,CD为磁场边界上的一绝缘板,它与N板的夹角为a=45°,孔Q到板的下端C的距离为L。当MN两板间电压取最大值时,粒子恰垂直打在CD板上。求:(1)两板间电压的最大值Um;(2)CD板上可能被粒子打中的区域的长度

 

【答案】

(1)

(2)

【解析】

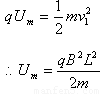
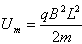
(1)MN两板间电压取最大值时,粒子恰垂直打在CD板上,所以圆心在C点,

,故半径

又因

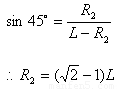
(2)设轨迹与CD板相切于K点,半径为R2,在中:

所以CD板上可能被粒子打中的区域的长度xHK

 

练习册系列答案
相关题目

违法和不良信息举报电话:027-86699610 举报邮箱:58377363@163.com

精英家教网