题目内容

如图所示,甲车质量,车上有质量M=50kg的人,甲车(连同车上的人)从足够长的斜坡上高h=0.45m处由静止滑下,到水平面上后继续向前滑动.此时质量的乙车正以的速度迎面滑来.为了避免两车相撞,当两车相距适当距离时,人从甲车跳到乙车上,求人跳出甲车的水平速度(相对地面)应在什么范围以内?不计地面和斜坡的摩擦,取

答案:
解析:

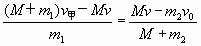
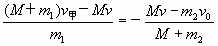
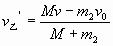
  解析:甲车(包括人)滑下斜坡后速度.在人跳离甲车和人跳上乙车过程中,各自动量守恒.设人跳离甲车和跳上乙车后两车速度分别为,则:

          ①

          ②

恰不发生相撞的条件为

                ③

从①得

从②得

,即当

时,

,即当

时,

所以,人跳离甲车的速度(对地)应满足:

3.8m/sv4.8m/s


练习册系列答案
相关题目

违法和不良信息举报电话:027-86699610 举报邮箱:58377363@163.com

精英家教网