题目内容

如图所示,M、N为两块带等量异种电荷的平行金属板,两板间电压可取从零到某一最大值之间的各种数值。静止的带电粒子带电量为+q,质量为m(不计重力),从点P经电场加速后,从小孔 Q进入N板右侧的匀强磁场区域,磁感应强度大小为B,方向垂直于纸面向外,CD为磁场边界上的一绝缘板,它与N板的夹角为a=45°,孔Q到板的下端C的距离为L。当M、N两板间电压取最大值时,粒子恰垂直打在CD板上。求

(1)两板间电压的最大值Um

(2)CD板上可能被粒子打中的区域的长度

(3)粒子在磁场中运动的最长时间tm

 

【答案】

(1);(2);(3)

【解析】

试题分析:

(1)M、N两板间电压取最大值时,粒子恰垂直打在CD板上,所以圆心在C点,CH=QC=L,故半径R1=L

  

 又因    

       

       

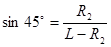
(2)设轨迹与CD板相切于K点,半径为R2,在△AKC中:    

   

 长等于 

 板上可能被粒子打中的区域的长度

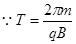
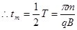
(3)打在QE间的粒子在磁场中运动的时间最长,均为半周期: 

      

 

练习册系列答案
相关题目

违法和不良信息举报电话:027-86699610 举报邮箱:58377363@163.com

精英家教网