题目内容
某人造地球卫星因受高空稀薄空气的阻力作用,绕地球运转的轨道会慢慢改变,每次测量中卫星的运动可近似看作圆周运动.某次测量卫星的轨道半径为r1,后来变为r2.以V1、V2表示卫星在这两个轨道上的速率,T1、T2表示卫星在这两个轨道上绕地球运动的周期,则( )A.V2<V1,T1<T2
B.V2>V1,T1<T2
C.V2<V1,T1>T2
D.V2>V1,T1>T2
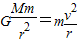
【答案】分析:人造地球卫星在运行中,由于受到稀薄大气的阻力作用,其运动轨道半径会逐渐减小,根据万有引力提供向心力
,判断线速度、周期的变化.
解答:解:根据
得:v=
,因为轨道半径会逐渐减小,所以速度增大,故V2>V1
根据
得:T=
,因为轨道半径会逐渐减小,所以周期减小,故T1>T2
故选D.
点评:解决本题的关键掌握万有引力提供向心力,会根据该规律判断线速度、角速度、周期、向心加速度与轨道半径的关系.
解答:解:根据
根据
故选D.
点评:解决本题的关键掌握万有引力提供向心力,会根据该规律判断线速度、角速度、周期、向心加速度与轨道半径的关系.
练习册系列答案
相关题目
某人造地球卫星因受高空稀薄空气的阻力作用,绕地球运转的轨道会慢慢改变,每次测量中卫星的运动可近似看作圆周运动.某次测量卫星的轨道半径为r1,后来变为r2,r2<r1,以V1,V2表示卫星在这两个轨道上的速度,T1、T2表示卫星在这两个轨道上绕地球运动的周期,则( )
| A、V1>V2 T2<T1 | B、V1>V2 T2>T1 | C、V1<V2 T2<T1 | D、V1<V2 T2>T1 |