题目内容

一列波在x轴上传播,在t1=0和t2=0.01 s时波形如图中的实线和虚线.

(1)若周期大于t2-t1,则波速为多少?

(2)若周期小于t2-t1,则波速为多少?

答案:
解析:

  答案:见解析

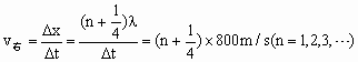
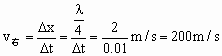
  解析:从图中看出=8 m,

  (1)当时,即波的传播时间,也就是说,波传播的距离,当波向右传播时,传播距离为.当波向左传播时,传播距离为

  (2)当时,即波的传播时间,也就是说波传播的距离.当波向右传播时,

  当波向左传播时,


练习册系列答案
相关题目

违法和不良信息举报电话:027-86699610 举报邮箱:58377363@163.com

精英家教网