题目内容

(8分)2013年6月11日,“神舟十号”发射成功,两天后“神舟十号”与“天宫一号”成功对接,对接后组合体沿距地面高度为h的圆形轨道做圆周运动。已知地球半径为R,地球表面重力加速度为g,引力常量为G,求:

地球质量M;

“神舟十号”与“天宫一号”组合体的运行周期T

 

【答案】

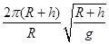
 (1) M=,(2) T=

【解析】

试题分析:这是一道考查学生对应用万有引力定律计算天体质量等基本题型,建议学生解题时注意轨道半径

(1)根据地球表面万有引力与重力近似相等        ①

解得:M=       ②

由万有引力提供向心力,     ③

 T=

评分标准:本题共8分,每式2分

考点:万有引力定律的应用

 

练习册系列答案
相关题目

违法和不良信息举报电话:027-86699610 举报邮箱:58377363@163.com

精英家教网