题目内容

一人站在离公路l=50m远处,如图所示,公路上有一辆汽车以=10m/s的速度行驶,当汽车与此人相距d=200m时,人以=3m/s的平均速度奔跑,为了使人跑到公路上恰与汽车相遇,则此人应该朝哪个方向奔跑?

答案:略
解析:

人的运动方向与AB位置连线的夹角为,有两种情形.

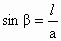
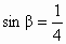
设人和车相遇在P点.根据几何知识有:

,又

解得,有两组解,(图中P点相遇的情形)(上图中点相遇的情形)


练习册系列答案
相关题目

违法和不良信息举报电话:027-86699610 举报邮箱:58377363@163.com

精英家教网