题目内容
一人站在离公路l=50m远处,如图所示,公路上有一辆汽车以
=10m/s的速度行驶,当汽车与此人相距d=200m时,人以
=3m/s的平均速度奔跑,为了使人跑到公路上恰与汽车相遇,则此人应该朝哪个方向奔跑?
![]()
答案:略
解析:
解析:
|
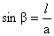
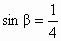
人的运动方向与 AB位置连线的夹角为设人和车相遇在 P点.根据几何知识有:
解得
|
练习册系列答案
相关题目