题目内容

如图,质量为M、长为L、高为h的矩形滑块置于水平地面上,滑块与地面间动摩擦因数为μ;滑块上表面光滑,其右端放置一个质量为m的小球。用水平外力击打滑块左端,使其在极短时间内获得向右的速度v0,经过一段时间后小球落地。求小球落地时距滑块左端的水平距离。

 

 

【答案】

 或

【解析】

试题分析:滑块上表面光滑,小球水平方向不受力的作用,故当滑块的左端到达小球正上方这段时间内,小球的速度始终为零,则对于滑块:

加速度大小为:

由速度—位移关系式,得:

当滑块的左端到达小球正上方后,小球做自由落体运动,落地时间

滑块的加速度

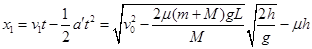
若此时滑块的速度没有减小到零,在t时间内滑块向右运动的距离x1为:

若在t时间内滑块已经停下来,滑块向右运动的距离x2为:

考点:本题考查了匀变速直线运动和自由落体运动的综合应用。

 

练习册系列答案
相关题目

违法和不良信息举报电话:027-86699610 举报邮箱:58377363@163.com

精英家教网