题目内容

以10m/s的速度将质量是m的物体竖直向上抛出,若空气阻力忽略,g=10m/,求:

(1)物体上升的最大高度是多少?

(2)上升到何处时重力势能和动能相等?

答案:5m;2.5m
解析:

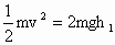
解:(1)以地面为参考面,则,在最高点动能为零,

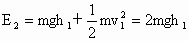
(2)初态设在地面,,终态设在高处,因为机械能守恒,

此题可用竖直上抛知识解决,但由于物体在空中只有重力做功,故机械能守恒,所以用机械能守恒定律解题.


练习册系列答案
相关题目

违法和不良信息举报电话:027-86699610 举报邮箱:58377363@163.com

精英家教网