ÌâÄ¿ÄÚÈÝ
ÎÊ£º£¨1£©µç³¡Ç¿¶ÈEµÄ´óСÊǶàÉÙ£¿
£¨2£©Á½Ð¡ÇòµÄÖÊÁ¿Ö®±È
¡¾´ð°¸¡¿·ÖÎö£º£¨1£©ÓÉÌâÒâ¿É֪СʱÇòµÄÖØÁ¦Óëµç³¡Á¦ÏàµÈ£¬ÁÐʽ¿ÉÇóµÃµç³¡Ç¿¶È£»
£¨2£©ÒòÖØÁ¦Óëµç³¡Á¦Æ½ºâ£¬¹ÊÅöºóСÇò1×öÔÈËÙÔ²ÖÜÔ˶¯£¬ÓÉÅ£¶ÙµÚ¶þ¶¨ÂÉ¿ÉÇóµÃСÇò1µÄËٶȼ°ÖÜÆÚ£¬¼´¿ÉÅгöÁ½ÇòÔÚºÎʱÏàÅö£»¶øÐ¡Çò2Åöºó×öƽÅ×Ô˶¯£¬ÓÉÆ½Å×Ô˶¯µÄ¹æÂÉ¿ÉÇóµÃСÇò2µÄ³õËÙ¶È£»ÔòÓɶ¯Á¿Êغã¿ÉÇóµÃÁ½ÇòÖÊÁ¿µÄ±ÈÖµ£®
½â´ð£º½â£º£¨1£©Ð¡Çò1ËùÊܵÄÖØÁ¦Óëµç³¡Á¦Ê¼ÖÕÆ½ºâ m1g=q1E ¢Ù
½âµÃE=2.5 N/C ¢Ú
µç³¡Ç¿¶ÈΪ2.5N/C£»
£¨2£©ÏàÅöºóСÇò1×öÔÈËÙÔ²ÖÜÔ˶¯£¬ÓÉÅ£¶ÙµÚ¶þ¶¨Âɵãº
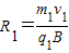
q1v1B=
¢Û
°ë¾¶Îª
¢Ü
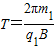
ÖÜÆÚΪ
=1 s ¢Ý
¡ßÁ½Ð¡ÇòÔ˶¯Ê±¼ät=0.75s=
T
¡àСÇò1Ö»ÄÜÄæÊ±Õë¾
¸öÔ²ÖÜʱÓëСÇò2ÔÙ´ÎÏàÅö ¢Þ
µÚÒ»´ÎÏàÅöºóСÇò2×÷ƽÅ×Ô˶¯
¢ß
L=R1=v1t ¢à
Á½Ð¡ÇòµÚÒ»´ÎÅöײǰºó¶¯Á¿Êغ㣬ÒÔˮƽÏòÓÒΪÕý·½Ïò
m1v=-m1v1+m2v2 ¢á
Óɢߡ¢¢àʽµÃv2=3.75 m/s
ÓÉ¢ÜʽµÃ
=66 m/s
¡àÁ½Ð¡ÇòÖÊÁ¿Ö®±È
=
¢â
¹ÊÁ½Ð¡Ê±ÇòÖÊÁ¿Ö®±ÈΪ11£®
µãÆÀ£º±¾Ìâ×ۺϿ¼²éÁ˶¯Á¿Êغ㡢ƽÅ×Ô˶¯¡¢Ô²ÖÜÔ˶¯µÈÖ÷Ҫ֪ʶ£¬ÔÚ½â´ðÖÐҪעÒâͨ¹ý·ÖÎöµÃ³öÖ÷ÒªµÄÔ˶¯¹ý³Ì£¬ÔÙÓÉÌâÄ¿¸ø³öµÄÌõ¼þÁÐʽ¼ÆËã³öÎÒÃÇÐèÒªµÄÊý¾Ý£»±¾Ìâ¶ÔѧÉúµÄ·ÖÎöÎÊÌâÄÜÁ¦ÒªÇó½Ï¸ß£¬ÊǵÀºÃÌ⣮
£¨2£©ÒòÖØÁ¦Óëµç³¡Á¦Æ½ºâ£¬¹ÊÅöºóСÇò1×öÔÈËÙÔ²ÖÜÔ˶¯£¬ÓÉÅ£¶ÙµÚ¶þ¶¨ÂÉ¿ÉÇóµÃСÇò1µÄËٶȼ°ÖÜÆÚ£¬¼´¿ÉÅгöÁ½ÇòÔÚºÎʱÏàÅö£»¶øÐ¡Çò2Åöºó×öƽÅ×Ô˶¯£¬ÓÉÆ½Å×Ô˶¯µÄ¹æÂÉ¿ÉÇóµÃСÇò2µÄ³õËÙ¶È£»ÔòÓɶ¯Á¿Êغã¿ÉÇóµÃÁ½ÇòÖÊÁ¿µÄ±ÈÖµ£®
½â´ð£º½â£º£¨1£©Ð¡Çò1ËùÊܵÄÖØÁ¦Óëµç³¡Á¦Ê¼ÖÕÆ½ºâ m1g=q1E ¢Ù
½âµÃE=2.5 N/C ¢Ú
µç³¡Ç¿¶ÈΪ2.5N/C£»
£¨2£©ÏàÅöºóСÇò1×öÔÈËÙÔ²ÖÜÔ˶¯£¬ÓÉÅ£¶ÙµÚ¶þ¶¨Âɵãº
q1v1B=
°ë¾¶Îª
ÖÜÆÚΪ
¡ßÁ½Ð¡ÇòÔ˶¯Ê±¼ät=0.75s=
¡àСÇò1Ö»ÄÜÄæÊ±Õë¾
µÚÒ»´ÎÏàÅöºóСÇò2×÷ƽÅ×Ô˶¯
L=R1=v1t ¢à
Á½Ð¡ÇòµÚÒ»´ÎÅöײǰºó¶¯Á¿Êغ㣬ÒÔˮƽÏòÓÒΪÕý·½Ïò
m1v=-m1v1+m2v2 ¢á
Óɢߡ¢¢àʽµÃv2=3.75 m/s
ÓÉ¢ÜʽµÃ
¡àÁ½Ð¡ÇòÖÊÁ¿Ö®±È
¹ÊÁ½Ð¡Ê±ÇòÖÊÁ¿Ö®±ÈΪ11£®
µãÆÀ£º±¾Ìâ×ۺϿ¼²éÁ˶¯Á¿Êغ㡢ƽÅ×Ô˶¯¡¢Ô²ÖÜÔ˶¯µÈÖ÷Ҫ֪ʶ£¬ÔÚ½â´ðÖÐҪעÒâͨ¹ý·ÖÎöµÃ³öÖ÷ÒªµÄÔ˶¯¹ý³Ì£¬ÔÙÓÉÌâÄ¿¸ø³öµÄÌõ¼þÁÐʽ¼ÆËã³öÎÒÃÇÐèÒªµÄÊý¾Ý£»±¾Ìâ¶ÔѧÉúµÄ·ÖÎöÎÊÌâÄÜÁ¦ÒªÇó½Ï¸ß£¬ÊǵÀºÃÌ⣮
Á·Ï°²áϵÁдð°¸
Ïà¹ØÌâÄ¿