题目内容

如图所示,ABCD是一个正方形的匀强磁场区域,由静止开始经相同电压加速后的甲、乙两种带电粒子,分别从A、B两点射入磁场,结果均从C点射出,则它们的速率v︰v为多大?,它们通过该磁场所用的时间t︰t为多大?

 

 

【答案】

1:2 ;2:1

【解析】

试题分析:根据

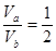
洛仑兹力关系:推得

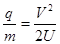
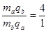
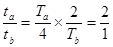
  得比荷的比:

;从

考点:带电粒子在电场中的直线加速及在磁场中的圆周运动。

 

练习册系列答案
相关题目

违法和不良信息举报电话:027-86699610 举报邮箱:58377363@163.com

精英家教网