题目内容
A.增大磁场的磁感应强度
B.增大匀强电场间的加速电压
C.增大D形金属盒的半径
D.减小狭缝间的距离
【答案】分析:回旋加速器利用电场加速和磁场偏转来加速粒子,根据洛伦兹力提供向心力求出粒子射出时的速度,从而得出动能的表达式,看动能与什么因素有关.
解答:解:由
,解得v=
.
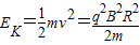
则动能
,知动能与加速的电压无关,狭缝间的距离无关,与磁感应强度大小和D形盒的半径有关,增大磁感应强度和D形盒的半径,可以增加粒子的动能.故A、C正确,B、D错误.
故选AC.
点评:解决本题的关键知道回旋加速器电场和磁场的作用,知道粒子的最大动能与加速的电压无关,与磁感应强度大小和D形盒的半径有关.
解答:解:由
则动能
故选AC.
点评:解决本题的关键知道回旋加速器电场和磁场的作用,知道粒子的最大动能与加速的电压无关,与磁感应强度大小和D形盒的半径有关.
练习册系列答案
相关题目
| A、增大匀强电场间的加速电压 | B、减小狭缝间的距离 | C、增大磁场的磁感应强度 | D、增大D形金属盒的半径 |
| A、质子被加速后的最大速度不可能超过2πRf | ||
B、质子被加速后的最大动能Ek不可能超过
| ||
| C、质子被加速后的最大动能与狭缝间的加速电压、加速次数无关 | ||
| D、改变B和f,该回旋加速器也能用于加速α粒子(即氦核) |