ÌâÄ¿ÄÚÈÝ
Èçͼ¼×Ëùʾ£¬Ë®Æ½·ÅÖõÄÉÏ¡¢ÏÂÁ½Æ½ÐнðÊô°å£¬°å³¤Ô¼Îª0.5 m£¬°å¼äµçѹuËæÊ±¼ät³ÊÕýÏÒ¹æÂɱ仯£¬º¯ÊýͼÏóÈçͼÒÒËùʾ£®ÊúÖ±ÐéÏßMNΪÁ½½ðÊô°åÓÒ±ßÔµµÄÁ¬Ïߣ¬MNµÄÓÒ±ßΪ´¹Ö±Ö½ÃæÏòÀïµÄÔÈÇ¿´Å³¡£¬´Å¸ÐӦǿ¶ÈΪB£¬ÏÖÔÚ´øÕýµçµÄÁ£×ÓÁ¬Ðø²»¶ÏµÄÒÔËÙ¶Èv0£½2¡Á105 m/sÑØÁ½°å¼äµÄÖÐÏß
´ÓOµãƽÐнðÊô°åÉäÈëµç³¡ÖУ®ÒÑÖª´øµçÁ£×ӵĺÉÖʱÈΪ
£¬Á£×ÓµÄÖØÁ¦ºÍÁ£×Ó¼äµÄÏ໥×÷ÓÃÁ¦¾ùºöÂÔ²»¼Æ£®
(1)Éèt£½0.1 sʱ¿ÌÉäÈëµç³¡µÄ´øµçÁ£×ÓÇ¡ÄÜ´ÓÆ½ÐнðÊô°åÓÒ±ßÔµÉä³öµç³¡£¬½øÈë´Å³¡£®Çó¸Ã´øµçÁ£×ÓÉä³öµç³¡Ê±ËٶȵĴóС£¿
(2)¶ÔÓÚt£½0.3 sʱ¿ÌÉäÈëµç³¡µÄÁ£×Ó£¬ÉèÆäÉäÈë´Å³¡µÄÈëÉäµãºÍ´Ó´Å³¡Éä³öµÄ³öÉäµãµÄ¼ä¾àΪd£¬ÊÔÓÃÌâÖÐËù¸øÎïÀíÁ¿µÄ·ûºÅ(v0¡¢m¡¢q¡¢B)±íʾd£®
½âÎö£º
|
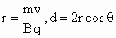
¡¡¡¡(1)ÓÉÓÚÁ£×ÓËٶȺܴ󣬿ÉÒÔÈÏΪÁ£×ÓÔÚÔÈÇ¿µç³¡uÖÐ×öÔȼÓËÙÔ˶¯£¬Óɶ¯Äܶ¨ÀíµÃ ¡¡¡¡ ¡¡¡¡½âµÃ ¡¡¡¡(2)ÈçͼËùʾ£¬ÉèÔ²ÖÜÔ˶¯µÄ°ë¾¶Îªr£¬Á£×ÓÔڴų¡ÖÐÔ˶¯µÄËÙ¶ÈΪv£®ÓÉ
|
| A¡¢ÔÚt=0ʱ£¬½ðÊô°ôËùÊܰ²ÅàÁ¦ÎªÁã | B¡¢ÔÚt=1sʱ£¬½ðÊô°ôËùÊܰ²ÅàÁ¦ÎªÁã | C¡¢ÔÚt=0Óët=2sʱ£¬½ðÊô°ôËùÊܰ²ÅàÁ¦´óСÏàµÈ | D¡¢ÔÚt=0µ½t=2sʱ¼äÄÚÁ÷¹ý½ðÊô°ôºá½ØÃæ»ýµÄµçºÉÁ¿Îª0.05C |