题目内容
物体沿一直线运动,在t时间内通过的路程为s,它在中间位置A.当物体作匀加速直线运动时,v1>v2
B.当物体作匀减速直线运动时,v1>v2
C.当物体作匀速直线运动时,v1=v2
D.当物体作匀减速直线运动时,v1<v2
【答案】分析:假设物体的初速度为v,末速度为v,加速度为a,总位移为s,总时间为t,根据位移时间公式和速度位移公式列式,然后进行分析处理.
解答:解:对于前一半路程,有
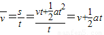
①
对于后一半路程,有
②
由①②解得

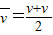
在中间时刻
时的速度为


又由于

故

根据不等式,可知
=
≥0(当v1=v2时取等号)
当物体做匀速直线运动时,v1=v2,故C正确;
当物体做匀加速直线运动或匀减速直线运动时,有v1>v2,故A正确,B正确,D错误;
故选ABC.
点评:本题关键是对运动过程运用速度位移公式、平均速度公式和位移时间公式列式后联立,求解出中间位置和中间时刻的瞬时速度的一般表达式,再进行分析讨论;要注意不管是匀加速还是匀减速,中间位置的速度都比较大.
解答:解:对于前一半路程,有
对于后一半路程,有
由①②解得
在中间时刻
又由于
故
根据不等式,可知
当物体做匀速直线运动时,v1=v2,故C正确;
当物体做匀加速直线运动或匀减速直线运动时,有v1>v2,故A正确,B正确,D错误;
故选ABC.
点评:本题关键是对运动过程运用速度位移公式、平均速度公式和位移时间公式列式后联立,求解出中间位置和中间时刻的瞬时速度的一般表达式,再进行分析讨论;要注意不管是匀加速还是匀减速,中间位置的速度都比较大.
练习册系列答案
相关题目
物体沿一直线运动,在t时间内通过的位移是S,它在中间位置处的速度为v1,在中间时刻的速度为v2,则关于v1和v2的关系判断正确的是( )
| A、当物体做匀加速直线运动时,v1<v2 | B、当物体做匀减速直线运动时,v1>v2 | C、当物体做匀速直线运动时,v1<v2 | D、当物体做匀减速直线运动时,v1=v2 |