题目内容

半径为r的绝缘光滑圆环固定在竖直平面内,环上套有一质量为m,带有正电的珠子,空间存在水平向右的匀强电场,如图所示,珠子所受电场力是其重力的倍,将珠子从环上最低位置A点由静止释放,则:

(1)珠子所能获得的最大动能是多大?

(2)珠子对环的最大压力是多大?

答案:略
解析:

答案:(1)(2)

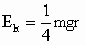
思路分析:(1),所以qEmg的合力与竖直方向夹角,即,则珠子由A点静止释放后从AB过程中做加速运动,如图所示,B点动能最大,由动能定理得

解得B点动能即最大动能

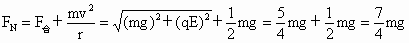
(2)设珠子在B点受圆环弹力为,有,即

由牛顿第三定律得,珠子对圆环的最大压力也为


练习册系列答案
相关题目

违法和不良信息举报电话:027-86699610 举报邮箱:58377363@163.com

精英家教网