题目内容
一个质点以初速度v=2m/s开始做匀变速直线运动,经过t=4s,前进位移x=16m,试求:(1)质点的加速度大小;
(2)第6s末质点的速度大小;
(3)质点前6s内的平均速度大小.
【答案】分析:(1)根据位移时间公式即可求得加速度;
(2)根据速度时间公式即可求解速度;
(3)根据匀变速直线运动平均速度公式
即可求解.
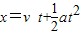
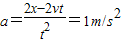
解答:解:(1)质点做匀变速直线运动,由位移公式:
得
(2)由速度公式:v6=v+at'=2+1×6=8m/s
(3)质点前6s内的平均速度
答:(1)质点的加速度大小为1m/s2;
(2)第6s末质点的速度大小为8m/s;
(3)质点前6s内的平均速度大小为5m/s.
点评:本题主要考查了匀变速直线运动基本公式的直接应用,难度不大,属于基础题.
(2)根据速度时间公式即可求解速度;
(3)根据匀变速直线运动平均速度公式
解答:解:(1)质点做匀变速直线运动,由位移公式:
得
(2)由速度公式:v6=v+at'=2+1×6=8m/s
(3)质点前6s内的平均速度
答:(1)质点的加速度大小为1m/s2;
(2)第6s末质点的速度大小为8m/s;
(3)质点前6s内的平均速度大小为5m/s.
点评:本题主要考查了匀变速直线运动基本公式的直接应用,难度不大,属于基础题.
练习册系列答案
相关题目