题目内容

太阳由于辐射,质量在不断减少,地球由于接受太阳辐射和吸收宇宙中的尘埃,其质量在增加.假定地球增加的质量等于太阳减少的质量,且地球的轨道半径不变,则

[  ]

A.太阳对地球的引力增大

B.太阳对地球的引力变小

C.地球运行的周期变长

D.地球运行的周期变短

答案:AC
解析:

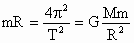
由于太阳减少的质量等于地球增加的质量,则两者间引力变大,由于R不变,M减少,由,知T变大.


练习册系列答案
相关题目

违法和不良信息举报电话:027-86699610 举报邮箱:58377363@163.com

精英家教网