题目内容

如图所示,劲度系数为k的轻质弹簧一端固定在墙上,另一端与倾角为α的斜面体小车连接,小车置于光滑的水平面上,在小车上叠放一个物体.若已知小车质量为M,物体质量为m,小车处于O点时,整个系统处于平衡状态.现将小车从O点拉到B点,令OB=b,无初速释放后,小车即在水平面上B、C间来回运动,而物体m与小车间始终没有发生相对运动.则求:

(1)小车运动到B点时的加速度大小和物体m所受的摩擦力的大小各是多少?

(2)b的大小必须满足什么条件,才能使小车和物体一起运动的过程中,在某一位置时物体和小车之间的摩擦力为零?

答案:
解析:

(1),

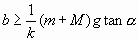
(2)


练习册系列答案
相关题目

违法和不良信息举报电话:027-86699610 举报邮箱:58377363@163.com

精英家教网