题目内容

半径为右端开小口的导体圆环和长为的导体直杆,单位长度电阻均为.圆环水平固定放置,整个内部区域分布着竖直向下的匀强磁场,磁感应强度为,杆在圆环上以速度平行于直径向右做匀速直线运动,杆始终有两点与圆环良好接触,从圆环中心开始,杆的位置由确定,如图所示.则时,杆产生的电动势为           ;时,杆受的安培力大小为          

 

 

【答案】

   

【解析】

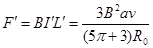
试题分析:当时,杆产生的电动势

时,电路中总电阻是,所以杆受的安培力大小

考点:导体切割磁感线时的感应电动势;安培力

 

练习册系列答案
相关题目

违法和不良信息举报电话:027-86699610 举报邮箱:58377363@163.com

精英家教网