题目内容

如图所示,在水平向右的匀强电场E和水平向里的匀强磁场B并存的空间中,有一个足够长的水平光滑绝缘面MN。面上O点处放置一个质量为m、带正电q的物块,释放后物块自静止开始运动。求物块刚要离开水平面时的速度和相对于出发点O的位移。

答案:
解析:

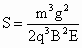
解:物块在电场力作用下向右加速,获得速度后又受到洛仑兹力,受力如图答所示,物块刚要离开水平面时,N=0,此时mg=qvB

∴v=mg/qB

物块离开水平面之前,只有电场力做功,由动能定理得


练习册系列答案
相关题目

违法和不良信息举报电话:027-86699610 举报邮箱:58377363@163.com

精英家教网