题目内容
我国发射的“嫦娥一号”卫星进入距月球表面高为h的圆轨道绕月运动.设月球半径约为地球半径的(1)在月球上要发射一颗环月卫星,最小发射速度v
(2)“嫦娥一号”卫星在距月球表面高为h的圆轨道上绕月做匀速圆周运动时的速度大小v1.
【答案】分析:(1)根据环月卫星做圆周运动万有引力提供向心力列出等式,根据地球表面物体万有引力等于重力列出等式,两式联立解决问题.
(2))根据“嫦娥一号”做圆周运动万有引力提供向心力列出等式求解速度大小.
解答:解:(1)设地球质量为M,月球的质量和半径分别为m、r,环月卫星质量为m,
已知
,
,
则:
对地球表面质量为m1的物体,
有:
解得
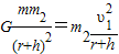
(2)设“嫦娥一号”卫星的质量为m2,则
解得
答:(1)在月球上要发射一颗环月卫星,最小发射速度是
(2)“嫦娥一号”卫星在距月球表面高为h的圆轨道上绕月做匀速圆周运动时的速度大小是
.
点评:解决本题的关键掌握万有引力等于重力,知道卫星在月球表面轨道做圆周运动,靠重力提供向心力,以及会求第一宇宙速度.
(2))根据“嫦娥一号”做圆周运动万有引力提供向心力列出等式求解速度大小.
解答:解:(1)设地球质量为M,月球的质量和半径分别为m、r,环月卫星质量为m,
已知
则:
对地球表面质量为m1的物体,
有:
解得
(2)设“嫦娥一号”卫星的质量为m2,则
解得
答:(1)在月球上要发射一颗环月卫星,最小发射速度是
(2)“嫦娥一号”卫星在距月球表面高为h的圆轨道上绕月做匀速圆周运动时的速度大小是
点评:解决本题的关键掌握万有引力等于重力,知道卫星在月球表面轨道做圆周运动,靠重力提供向心力,以及会求第一宇宙速度.
练习册系列答案
相关题目